自支撑氧化物薄膜是指一种去除衬底后依旧保持单晶特性的低维量子材料,兼具关联电子体系的多自由度耦合特性和二维材料的结构柔性。这类材料具有超弹性、挠曲电性和显著的磁弹效应等,有望诱导出传统外延氧化物薄膜中不具备的新奇量子衍生现象和功能特性。同时,由于摆脱了单晶衬底的刚性束缚,自支撑氧化物薄膜易于实现与硅基半导体、二维范德瓦尔斯材料以及柔性高分子材料的集成,在开发超薄柔性电子器件方面表现出巨大的应用潜力。
近日,我校吴文彬教授与王凌飞教授团队与西北大学司良教授团队合作,成功制备了一种广谱高效的新型超四方相水溶性牺牲层材料Sr4Al2O7,可用于制备多种高质量自支撑氧化物薄膜。成果以 “Super-tetragonal Sr4Al2O7 as a sacrificial layer for high-integrity freestanding oxide membranes”为题,于2024年1月26日以研究长文(Research Article)形式发表于《Science》上。

图1:基于水溶性牺牲层的自支撑氧化物薄膜的剥离和转移过程示意图。
多年来,自支撑氧化物薄膜的主流制备方法是基于水溶性牺牲层的外延生长、剥离和转移技术(图1)。然而,目前国际上普遍使用的Sr-Al-O基水溶性牺牲层与目标氧化物薄膜之间不可避免的晶格失配和应力弛豫会导致高密度界面缺陷的形成,进而在水辅助剥离和转移过程中诱发高密度裂纹的产生,显著影响自支撑氧化物薄膜的结晶性和完整性,并导致相应功能特性的退化。因此,如何抑制微裂纹的形成,获得大面积、高结晶性的自支撑氧化物薄膜是推动这一研究领域进一步发展的关键科学问题。

图2:使用不同种水溶性牺牲层剥离自支撑氧化物薄膜的完整性比较。图3A为基于国际上广泛使用的Sr3Al2O6牺牲层剥离的多种钙钛矿氧化物自支撑薄膜的光学显微图像。图3B为利用新型Sr4Al2O7牺牲层剥离的多种钙钛矿氧化物自支撑薄膜的光学显微图像。
针对上述问题,研究团队深入探索Sr-Al-O基水溶性牺牲层薄膜的激光分子束外延生长窗口,通过精细的薄膜生长控制发现了一种新型水溶性牺牲层材料Sr4Al2O7。系统的实验表征和第一性原理计算展现了其诸多优异性质:首先,双轴应变下的Sr4Al2O7薄膜具有四方结构对称性,与多数ABO3钙钛矿材料可以形成高质量共格外延生长,抑制了界面处缺陷的形成和水辅助剥离过程中的裂纹产生,显著提升了自支撑氧化物薄膜的结晶性和完整性。研究团队验证了晶格常数在3.85~4.04 Å区间的一系列钙钛矿氧化物薄膜的剥离效果,发现从Sr4Al2O7牺牲层上剥离的自支撑薄膜中无裂纹区域可以扩展到毫米级(图2),比目前已报道的同类自支撑薄膜样品大1~3个数量级,且其结晶性和功能性可以与单晶衬底上生长的高质量外延薄膜相当。其次,Sr4Al2O7薄膜的激光分子束外延生长窗口与多数钙钛矿氧化物薄膜兼容,制备工艺具有普适性。研究团队还进一步发现Sr4Al2O7独特的原子结构导致其具有很高的水溶性,显著缩短了水辅助剥离过程的时间,提升了自支撑氧化物薄膜的制备效率。新型水溶性牺牲层Sr4Al2O7的发现为制备高结晶性、大面积自支撑氧化物薄膜提供了一种高效且普适的实验手段。这一发现突破了自支撑氧化物薄膜在完整性和结晶性方面的瓶颈,为该领域的发展注入了新的动力,既有望推动自支撑氧化物薄膜新奇量子物态的进一步发掘,也可以提升这一体系在低维柔性电子学器件方面的应用潜力。

图3:使用EDS能谱表征Sr3Al2O6和Sr4Al2O7薄膜的Sr/Al摩尔比值。100 nm Sr3Al2O6(a) 和 Sr4Al2O7(b)薄膜所测得的EDS曲线。图3c是多次测量获得的Sr/Al平均摩尔比。

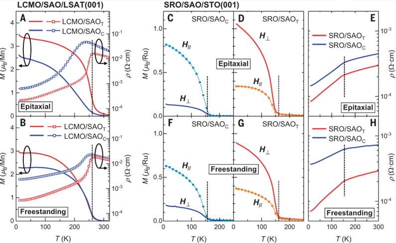
图4:功能氧化物薄膜从Sr3Al2O6(SAOC)或Sr4Al2O7(SAOT)牺牲层剥离前后磁电性能表征结果。图4A,B是LCMO薄膜使用SAOC和SAOT牺牲层剥离前后的磁化强度(M-T)和电阻率(ρ-T)随温度变化曲线。图4C-H是SRO薄膜使用SAOC和SAOT牺牲层剥离前后的面内(H‖)和面外(H┴)磁化强度(M-T)和电阻率(ρ-T)随温度变化曲线。
Sr4Al2O7分子式的确认是该研究的重点,由于SrO-Al2O3相图在Sr3Al2O6相界附近较为复杂,生长过程中很容易产生中间相、亚稳相或混合相,因此难以直接判断新相组分。对于这一难题该团队通过理化科学实验中心扫描电镜-拉曼关联成像系统(蔡司GeminiSEM 450)配置的牛津EDS能谱仪进行元素定量分析获取Sr4Al2O7的组分配比,如图3所示,对照组Sr3Al2O6薄膜中Sr和Al元素比值为~ 1.5,与实际情况一致。Sr4Al2O7薄膜测得的结果则显示Sr和Al元素比值为 ~ 2,说明其是完全不同于Sr3Al2O6的化合物,为后续晶体结构的解析提供了重要基础。后续作者基于Sr4Al2O7这一新型水溶性牺牲层制备了一系列自支撑氧化物薄膜,功能氧化物薄膜磁电性能测试是使用理化科学实验中心的超导量子干涉技术的精密磁性测量统(SQUID-VSM)和综合物性测量系统(PPMS)(Quantum Design公司)测得,如图4所示,磁电物性测量结果充分展示了Sr4Al2O7牺牲层制备的自支撑薄膜保持了高质量的物性参数,甚至拥有更为优异的磁电功能特性。
